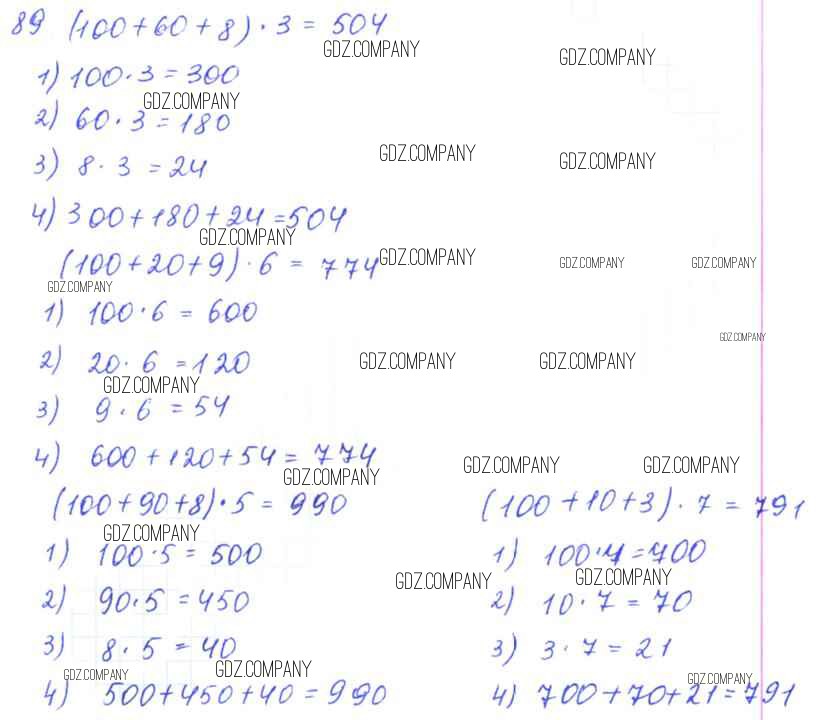
Решебник №1
часть 2 (упражнение) / 89

Решебник №2
часть 2 (упражнение) / 89

Решебник №3
часть 2 (упражнение) / 89

Здесь готовые ответы по Математике за 3 (третий) класс от Рудницкая, Юдачева Рабочая тетрадь Начальная школа XXI века (издательство: Вентана-граф от 2017 г.) № 89