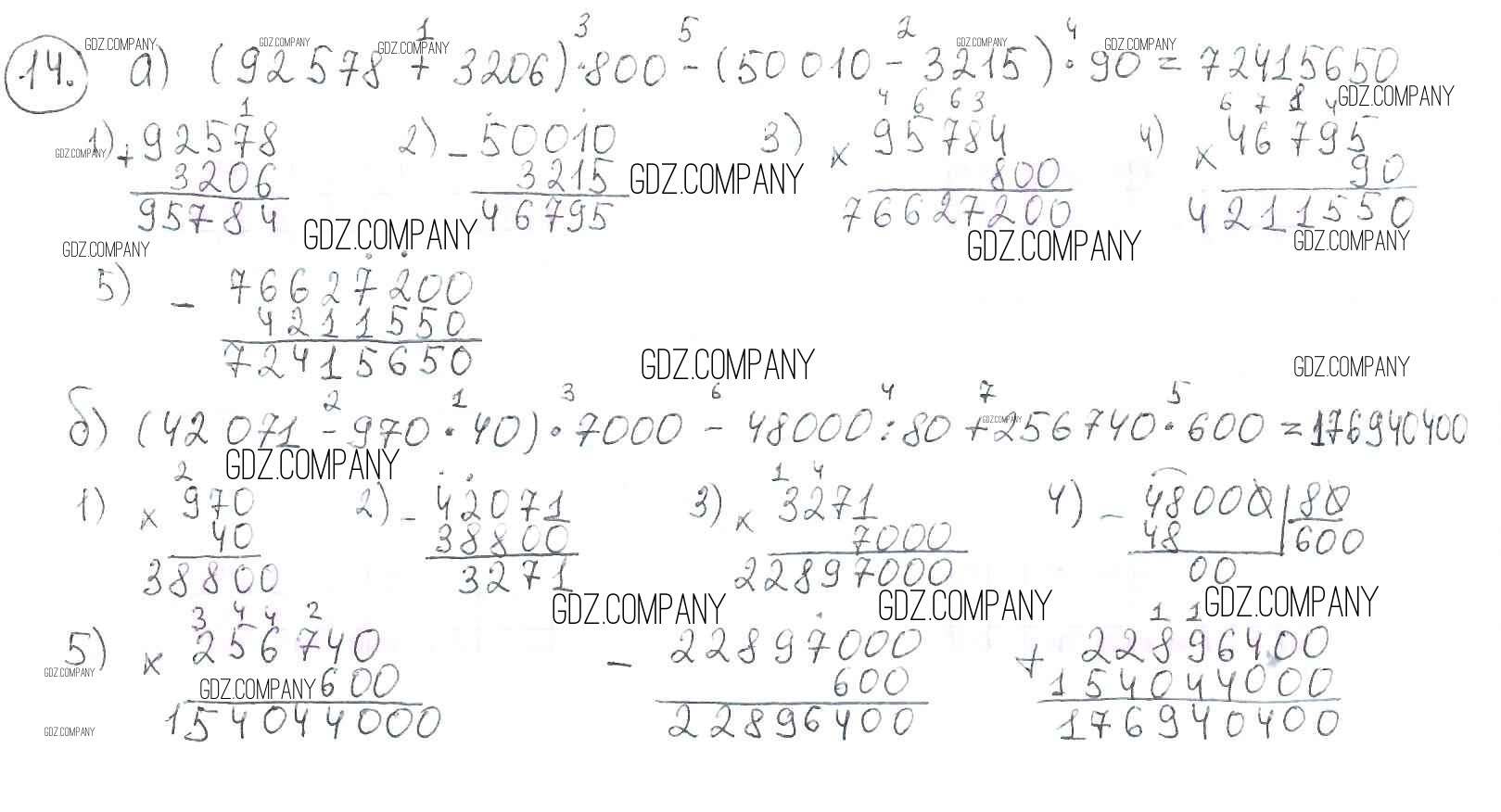
Решебник №1
часть 2. упражнение / урок 25 / 14

Решебник №2
часть 2. упражнение / урок 25 / 14

Здесь готовые ответы по Математике за 3 (третий) класс от Петерсон Учебник Учусь учиться (издательство: Бином от 2017 г.) № 14