Учебник
часть 2 / страница 82 / 2

Решебник 1
часть 2 / страница 82 / 2

Решебник 3
часть 2 / страница 82 / 2

Решебник 4
часть 2 / страница 82 / 2

Решебник 5
часть 2 / страница 82 / 2

Решебник 6
часть 2 / страница 82 / 2

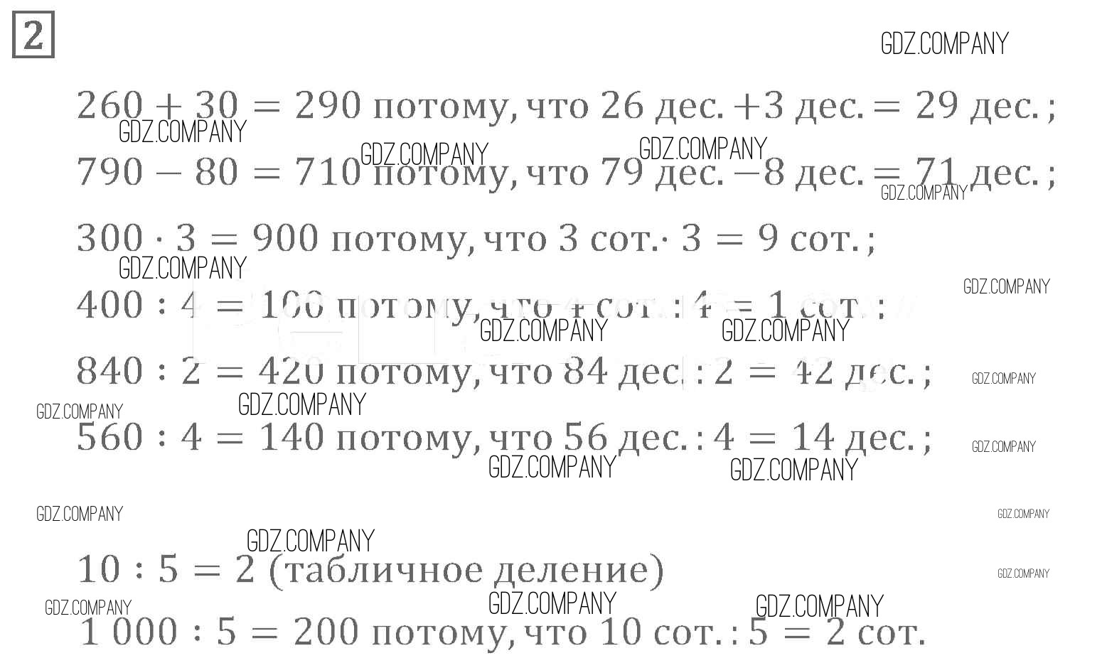
Здесь готовые ответы по Математике за 3 (третий) класс от Моро, Бантова, Бельтюкова, Волкова, Степанова Учебник Школа России (издательство: Просвещение от 2015 г.) № 2