Решебник 1
часть 2 / страница 48 / 5

Решебник 3
часть 2 / страница 48 / 5

Решебник 4
часть 2 / страница 48 / 5

Решебник 5
часть 2 / страница 48 / 5

Решебник 6
часть 2 / страница 48 / 5

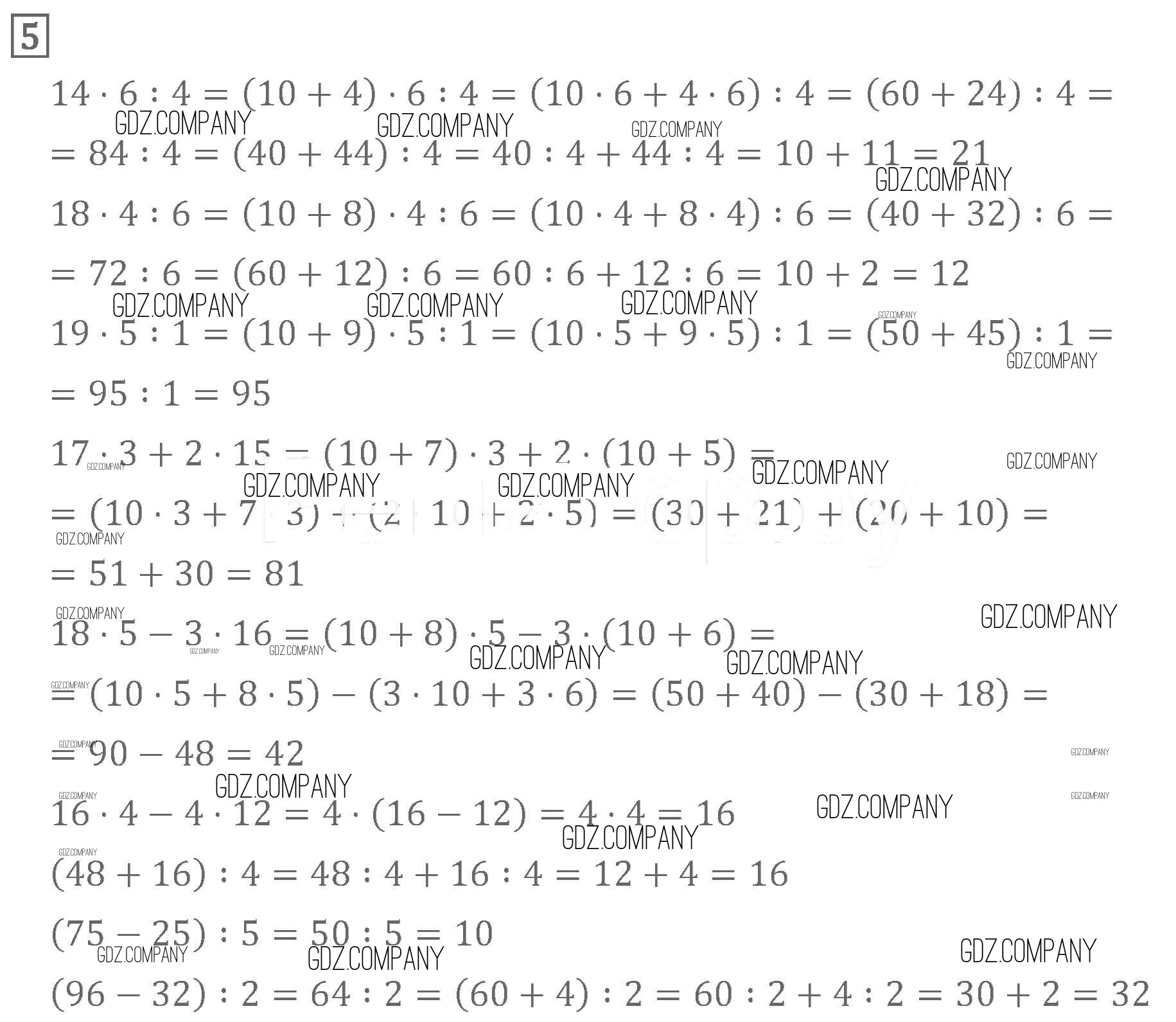
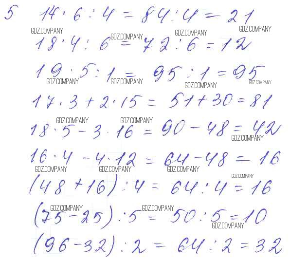
Здесь готовые ответы по Математике за 3 (третий) класс от Моро, Бантова, Бельтюкова, Волкова, Степанова Учебник Школа России (издательство: Просвещение от 2015 г.) № 5