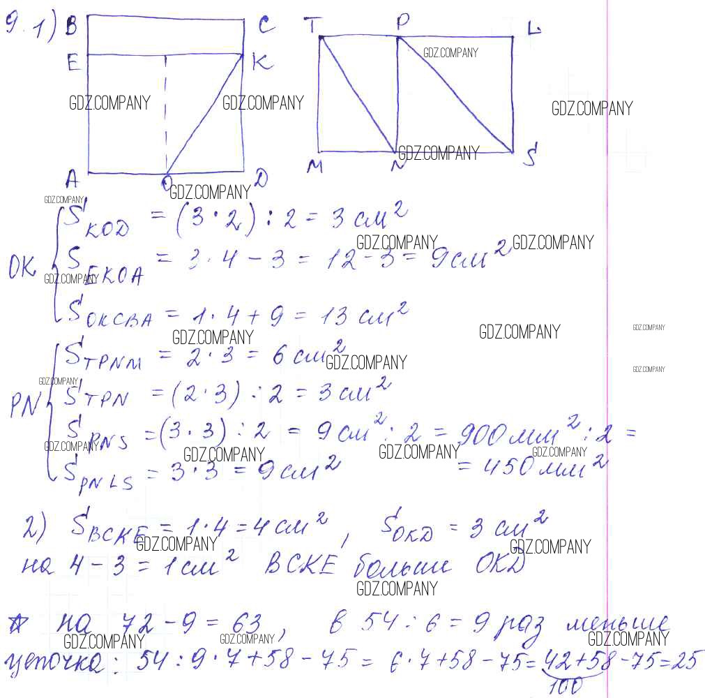
Учебник
часть 1 / страница 86-87 / 9

Решебник 1
часть 1 / страница 86-87 / 9

Решебник 3
часть 1 / страница 86-87 / 9

Решебник 4
часть 1 / страница 86-87 / 9

Решебник 5
часть 1 / страница 86-87 / 9


Решебник 6
часть 1 / страница 86-87 / 9

Здесь готовые ответы по Математике за 3 (третий) класс от Моро, Бантова, Бельтюкова, Волкова, Степанова Учебник Школа России (издательство: Просвещение от 2015 г.) № 9