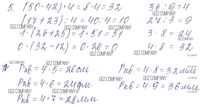
Решебник 1
часть 1 / страница 35 / 5

Решебник 4
часть 1 / страница 35 / 5

Решебник 5
часть 1 / страница 35 / 5

Решебник 6
часть 1 / страница 35 / 5

Здесь готовые ответы по Математике за 3 (третий) класс от Моро, Бантова, Бельтюкова, Волкова, Степанова Учебник Школа России (издательство: Просвещение от 2015 г.) № 5