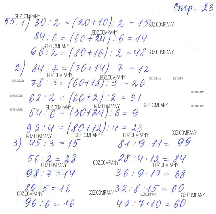
Решебник №1
часть 2 / стр. 3-38 (внетабличное умножение и деление) / 55

Решебник №2
часть 2 / стр. 3-38 (внетабличное умножение и деление) / 55

Решебник №3
часть 2 / стр. 3-38 (внетабличное умножение и деление) / 55

Решебник №4
часть 2 / стр. 3-38 (внетабличное умножение и деление) / 55

Решебник №5
часть 2 / стр. 3-38 (внетабличное умножение и деление) / 55

Решебник №6
часть 2 / стр. 3-38 (внетабличное умножение и деление) / 55

Решебник №7
часть 2 / стр. 3-38 (внетабличное умножение и деление) / 55


Здесь готовые ответы по Математике за 3 (третий) класс от Моро, Волкова Рабочая тетрадь Школа России (издательство: Просвещение от 2016 г.) № 55