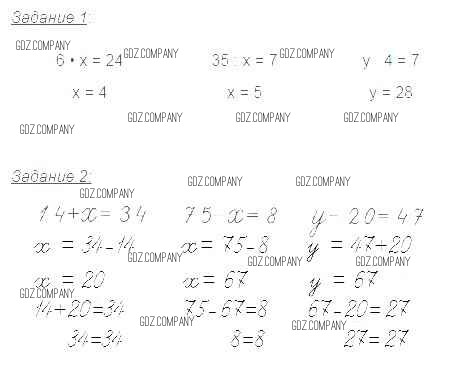
Решебник №1
часть 1 / стр. 8-76 (умножение и деление) / 54

Решебник №2
часть 1 / стр. 8-76 (умножение и деление) / 54

Решебник №3
часть 1 / стр. 8-76 (умножение и деление) / 54

Решебник №4
часть 1 / стр. 8-76 (умножение и деление) / 54

Решебник №5
часть 1 / стр. 8-76 (умножение и деление) / 54

Решебник №6
часть 1 / стр. 8-76 (умножение и деление) / 54

Решебник №7
часть 1 / стр. 8-76 (умножение и деление) / 54

Здесь готовые ответы по Математике за 3 (третий) класс от Моро, Волкова Рабочая тетрадь Школа России (издательство: Просвещение от 2016 г.) № 54