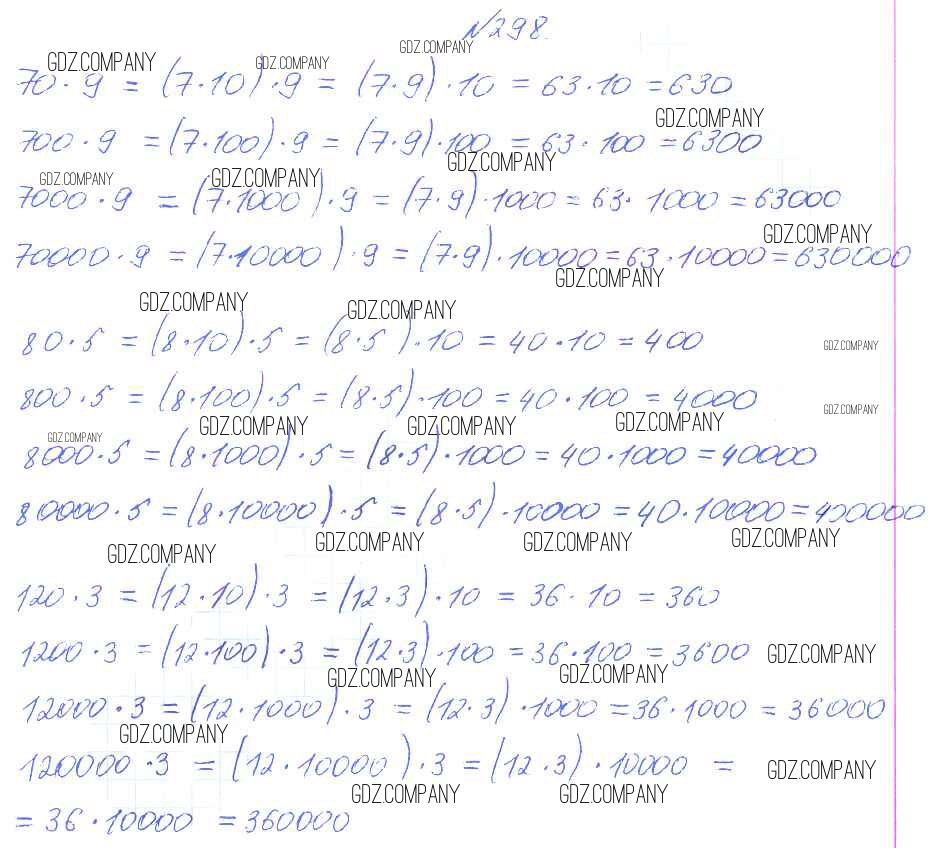
Решебник 1
часть 1 / 298

Решебник 2
часть 1 / 298

Решебник 3
часть 1 / 298

Здесь готовые ответы по Математике за 3 (третий) класс от Чекин Учебник Перспективная начальная школа (издательство: Академкнига от 2016 г.) № 298