Решебник 1
часть 1 / 169

Решебник 2
часть 1 / 169

Решебник 3
часть 1 / 169

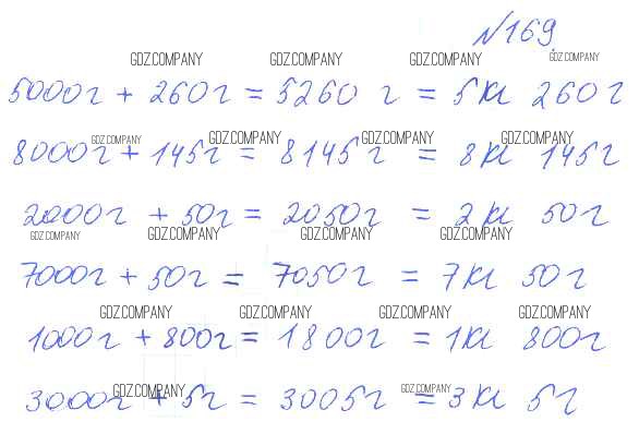
Здесь готовые ответы по Математике за 3 (третий) класс от Чекин Учебник Перспективная начальная школа (издательство: Академкнига от 2016 г.) № 169