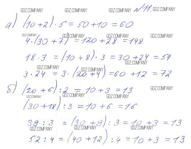
Решебник 1
часть 2 / страница 130-135 / 11

Решебник 2
часть 2 / страница 130-135 / 11

Здесь готовые ответы по Математике за 3 (третий) класс от Башмаков, Нефедова Учебник Планета знаний (издательство: Аст/Астрель от 2013 г.) № 11