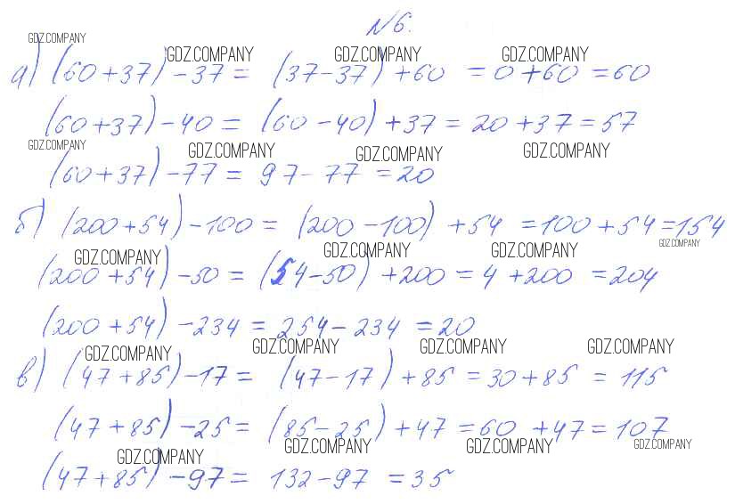
Решебник 1
часть 2 / страница 58-61 / 6

Решебник 2
часть 2 / страница 58-61 / 6

Здесь готовые ответы по Математике за 3 (третий) класс от Башмаков, Нефедова Учебник Планета знаний (издательство: Аст/Астрель от 2013 г.) № 6