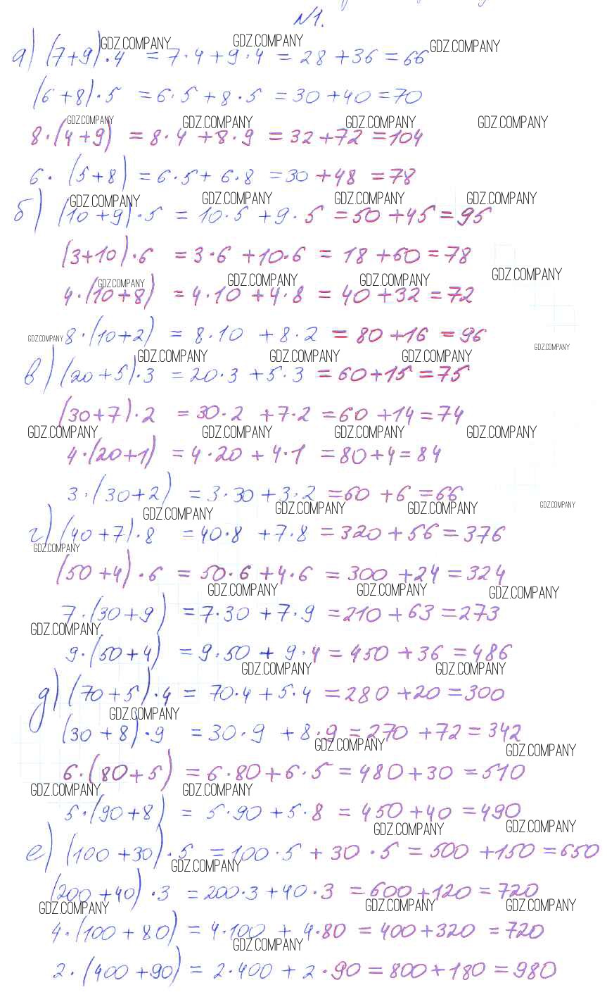
Решебник 1
часть 1 / страница 98-99 / 1

Решебник 2
часть 1 / страница 98-99 / 1

Здесь готовые ответы по Математике за 3 (третий) класс от Башмаков, Нефедова Учебник Планета знаний (издательство: Аст/Астрель от 2013 г.) № 1