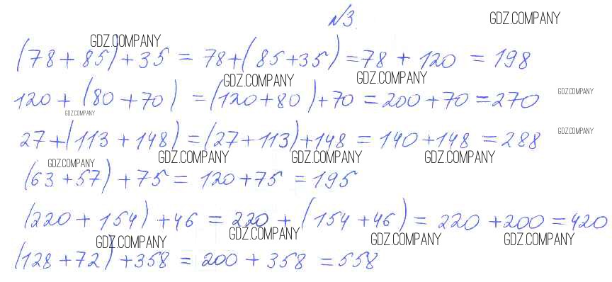
Решебник 1
часть 1 / страница 92-93 / 3

Решебник 2
часть 1 / страница 92-93 / 3

Здесь готовые ответы по Математике за 3 (третий) класс от Башмаков, Нефедова Учебник Планета знаний (издательство: Аст/Астрель от 2013 г.) № 3