Решебник 1
часть №2 (упражнение) / 147

Решебник 2
часть №2 (упражнение) / 147

Решебник 3
часть №2 (упражнение) / 147

Решебник 4
часть №2 (упражнение) / 147

Решебник 5
часть №2 (упражнение) / 147

Решебник 6
часть №2 (упражнение) / 147

Решебник 7
часть №2 (упражнение) / 147

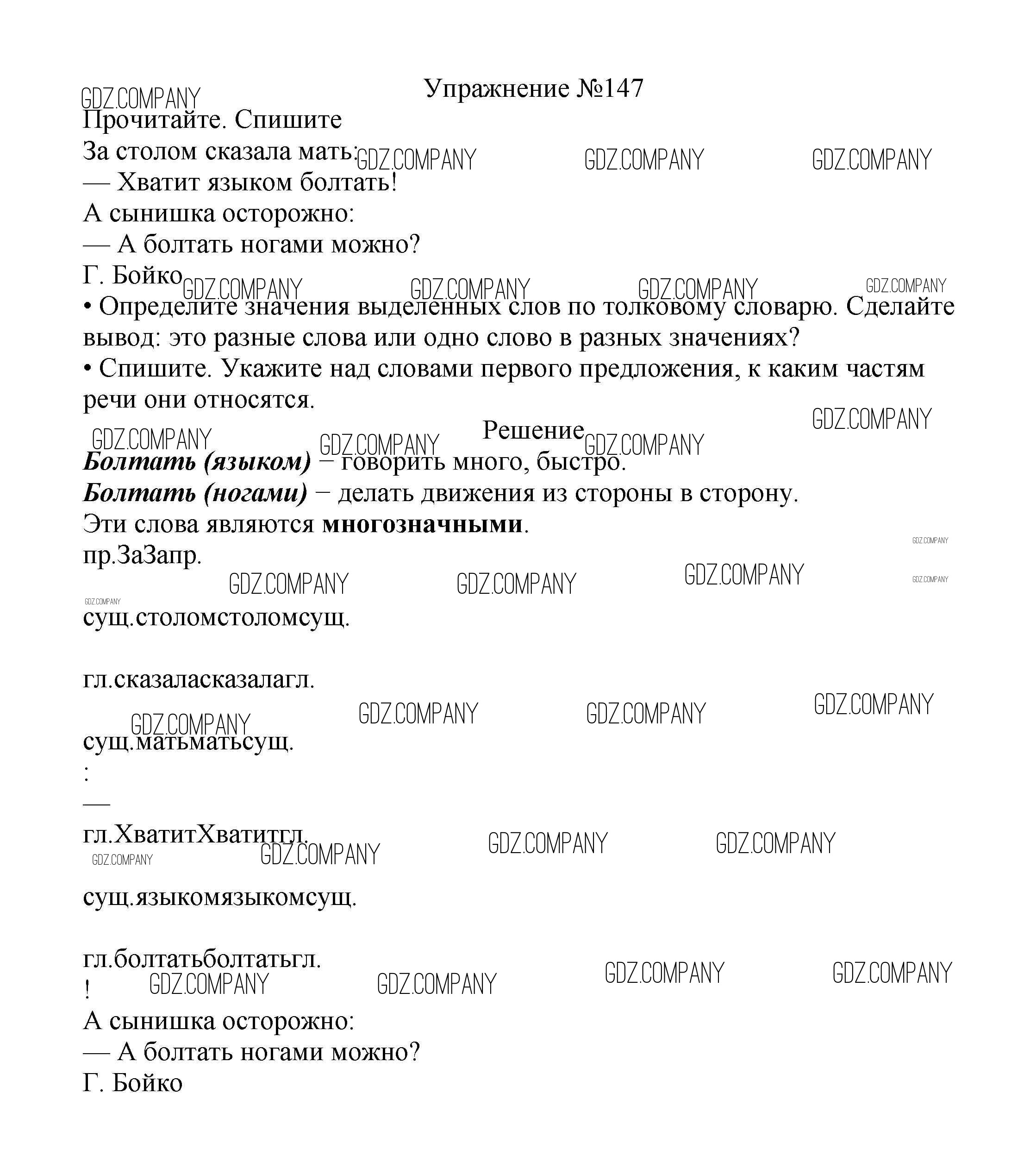
Здесь готовые ответы по Русскому языку за 2 (второй) класс от Канакина, Горецкий Учебник Школа России (издательство: Просвещение от 2013 г.) № 147