Решебник №1
часть 2. страница / 22

















































Решебник №2
часть 2. страница / 22













































Решебник №3
часть 2. страница / 22


Решебник №4
часть 2. страница / 22








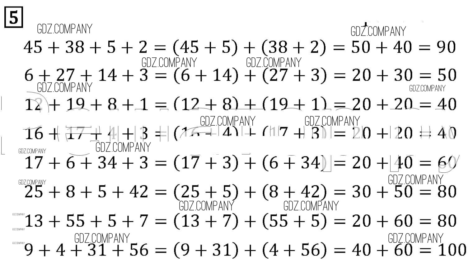
Здесь готовые ответы по Математике за 2 (второй) класс от Моро, Бантова, Бельтюкова Учебник Школа России (издательство: Просвещение от 2015 г.) № 22