Решебник №1
часть 1. страница / 72





























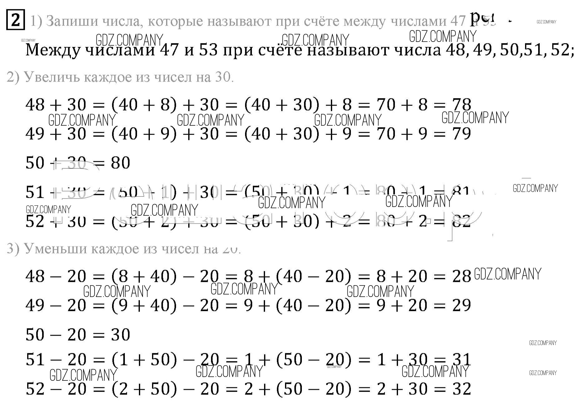
Решебник №2
часть 1. страница / 72





























Решебник №3
часть 1. страница / 72



Решебник №4
часть 1. страница / 72











Здесь готовые ответы по Математике за 2 (второй) класс от Моро, Бантова, Бельтюкова Учебник Школа России (издательство: Просвещение от 2015 г.) № 72