Решебник
§27 / 2
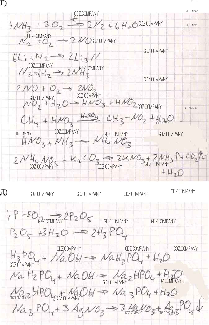
Здесь готовые ответы по Химии за 11 (одиннадцатый) класс от Габриелян, Лысова Учебник Вертикаль Углубленный уровень (издательство: Дрофа от 2017 г.) № 2 Углубленный уровень