Решебник
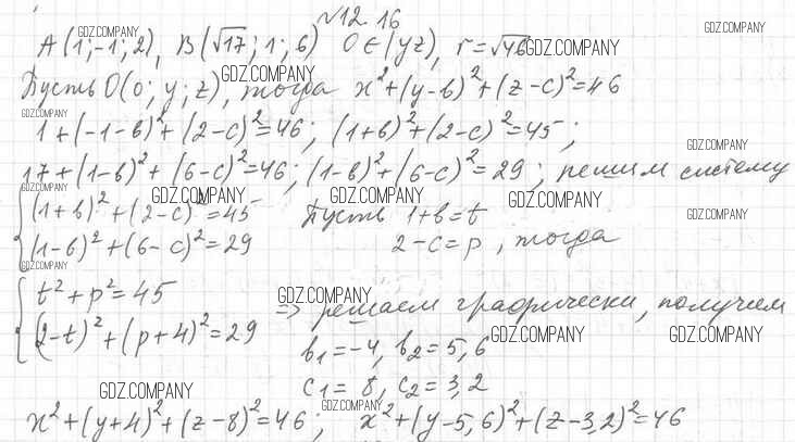
§12 / 12.16

Здесь готовые ответы по Геометрии за 11 (одиннадцатый) класс от Мерзляк, Номировский, Поляков Учебник Алгоритм успеха Углубленный уровень (издательство: Вентана-граф от 2019 г.) № 12.16 Углубленный уровень