Решебник
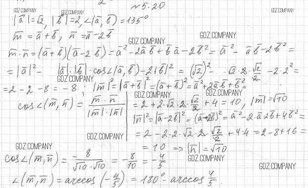
§5 / 5.20

Здесь готовые ответы по Геометрии за 11 (одиннадцатый) класс от Мерзляк, Номировский, Поляков Учебник Алгоритм успеха Углубленный уровень (издательство: Вентана-граф от 2019 г.) № 5.20 Углубленный уровень