Решебник
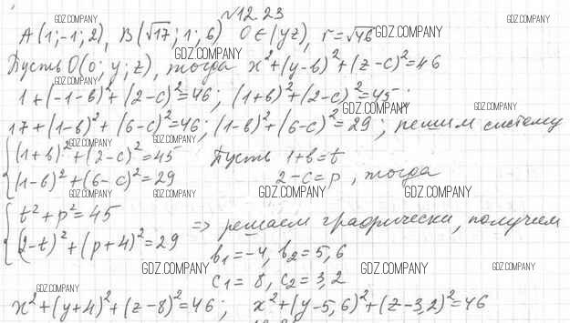
§12 / 12.23

Здесь готовые ответы по Геометрии за 11 (одиннадцатый) класс от Мерзляк, Номировский, Полонский, Якир Учебник Алгоритм успеха Базовый уровень (издательство: Вентана-граф от 2019 г.) № 12.23 Базовый уровень