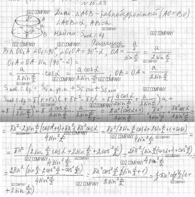
Решебник
§10 / 10.23

Здесь готовые ответы по Геометрии за 11 (одиннадцатый) класс от Мерзляк, Номировский, Полонский, Якир Учебник Алгоритм успеха Базовый уровень (издательство: Вентана-граф от 2019 г.) № 10.23 Базовый уровень