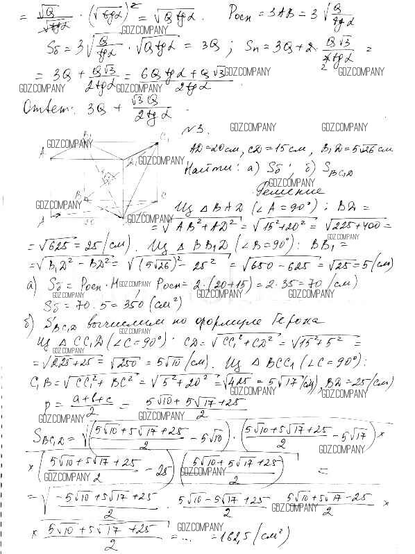
Решебник
к учебнику Погорелова 7-11 / контрольная работа / кр-7. вариант / Б1


Здесь готовые ответы по Геометрии за 11 (одиннадцатый) класс от Ершова, Голобородько Самостоятельные и контрольные работы (издательство: Илекса от 2004 г.) № Б1