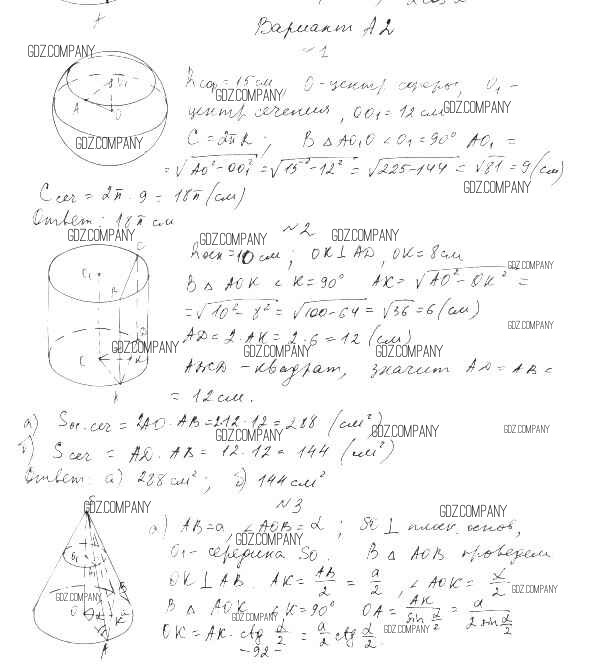
Решебник
к учебнику Погорелова 7-11 / контрольная работа / кр-3(9). вариант / А2


Здесь готовые ответы по Геометрии за 11 (одиннадцатый) класс от Ершова, Голобородько Самостоятельные и контрольные работы (издательство: Илекса от 2004 г.) № А2