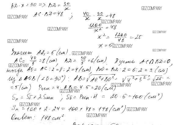
Решебник
к учебнику Погорелова 7-11 / самостоятельная работа / ср-28. вариант / Б1



Здесь готовые ответы по Геометрии за 11 (одиннадцатый) класс от Ершова, Голобородько Самостоятельные и контрольные работы (издательство: Илекса от 2004 г.) № Б1