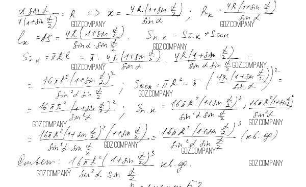
Решебник
к учебнику Атанасяна 10-11 / самостоятельная работа / ср-24. вариант / Б1


Здесь готовые ответы по Геометрии за 11 (одиннадцатый) класс от Ершова, Голобородько Самостоятельные и контрольные работы (издательство: Илекса от 2004 г.) № Б1