1класс
Английский язык
Информатика
Литература
Математика
Музыка
Немецкий язык
Окружающий мир
Природоведение
Русский язык
Украинский язык
Я исследую мир
2класс
Английский язык
Белорусский язык
Информатика
Кубановедение
Литература
Математика
Музыка
Немецкий язык
Окружающий мир
Основы здоровья
Природоведение
Русский язык
Технология
Украинский язык
Я исследую мир
3класс
Английский язык
Белорусский язык
Информатика
Кубановедение
Литература
Математика
Музыка
Немецкий язык
Окружающий мир
Природоведение
Русский язык
Технология
Украинский язык
Я исследую мир
4класс
Английский язык
Белорусский язык
Информатика
Кубановедение
Литература
Математика
Музыка
Немецкий язык
Окружающий мир
Русский язык
Технология
5класс
Английский язык
Белорусский язык
Биология
География
Естествознание
Информатика
Искусство
История
Кубановедение
Литература
Математика
Музыка
Немецкий язык
ОБЖ
Обществознание
Русский язык
Физика
Человек и мир
6класс
Английский язык
Белорусский язык
Биология
География
Естествознание
Информатика
Искусство
История
Кубановедение
Литература
Математика
Музыка
Немецкий язык
ОБЖ
Обществознание
Русский язык
Технология
Физика
7класс
Алгебра
Английский язык
Белорусский язык
Биология
География
Геометрия
Информатика
Искусство
История
Кубановедение
Литература
Музыка
Немецкий язык
ОБЖ
Обществознание
Русский язык
Технология
Физика
Химия
8класс
Алгебра
Английский язык
Белорусский язык
Биология
География
Геометрия
Информатика
История
Кубановедение
Литература
Немецкий язык
ОБЖ
Обществознание
Русский язык
Физика
Химия
9класс
Алгебра
Английский язык
Белорусский язык
Биология
География
Геометрия
Информатика
История
Кубановедение
Литература
ОБЖ
Обществознание
Русский язык
Физика
Химия
10класс
Алгебра
Английский язык
Белорусский язык
Биология
География
Геометрия
Информатика
История
Литература
Обществознание
Русский язык
Физика
Химия
11класс
Алгебра
Английский язык
Биология
География
Геометрия
История
Русский язык
Физика
Химия
ГДЗ
/
11 класс
/
Физика
/
задачник Рымкевич
/
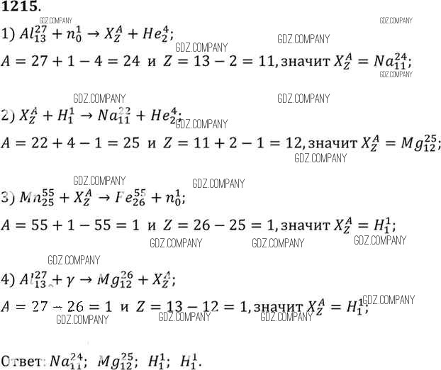
1215
Показать содержание
< Предыдущее
Следующее >
Решебник №1
задача / 1215
Решебник №2
задача / 1215
Решебник №3
задача / 1215
Показать содержание
< Предыдущее
Следующее >
Здесь готовые ответы по Физике за 11 (десятый) класс от Рымкевич Задачник УМК (издательство: Дрофа от 2013 г.) № 1215