Решебник
глава 8 / §47 / вариант-1
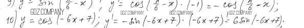
Здесь готовые ответы по Алгебре за 11 (одиннадцатый) класс от Шабунин, Газарян, Ткачёва, Федорова Дидактические материалы Базовый уровень (издательство: Просвещение от 2013 г.) № Вариант-1 Базовый уровень