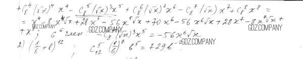
Решебник
глава 11 / §64 / вариант-2
Здесь готовые ответы по Алгебре за 11 (одиннадцатый) класс от Шабунин, Газарян, Ткачёва, Федорова Дидактические материалы Базовый уровень (издательство: Просвещение от 2013 г.) № Вариант-2 Базовый уровень