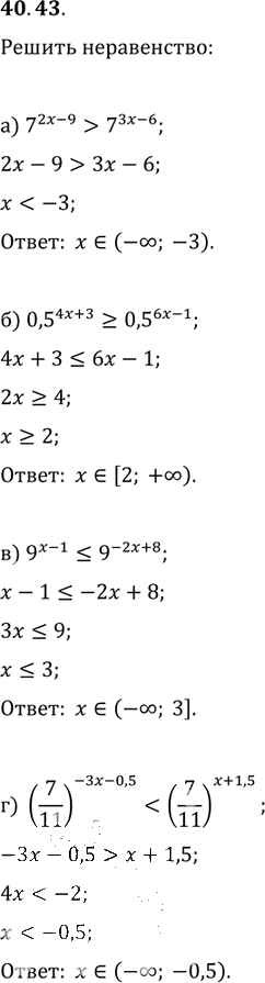
Решебник №1
глава 7 / §40 / 40. 43

Решебник №2
глава 7 / §40 / 40. 43

Решебник №3
глава 7 / §40 / 40. 43

Здесь готовые ответы по Алгебре за 11 (десятый) класс от Мордкович, Денищева, Корешкова, Мишустина, Семёнов, Тульчинская Задачник Базовый уровень (издательство: Мнемозина от 2015 г.) № 40. 43 Базовый уровень