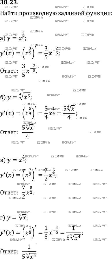
Решебник №1
глава 6 / §38 / 38. 23

Решебник №2
глава 6 / §38 / 38. 23

Решебник №3
глава 6 / §38 / 38. 23

Здесь готовые ответы по Алгебре за 11 (десятый) класс от Мордкович, Денищева, Корешкова, Мишустина, Семёнов, Тульчинская Задачник Базовый уровень (издательство: Мнемозина от 2015 г.) № 38. 23 Базовый уровень