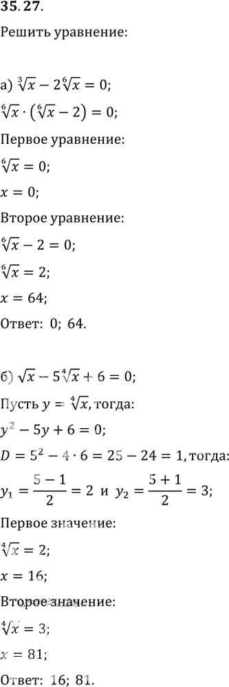
Решебник №1
глава 6 / §35 / 35. 27

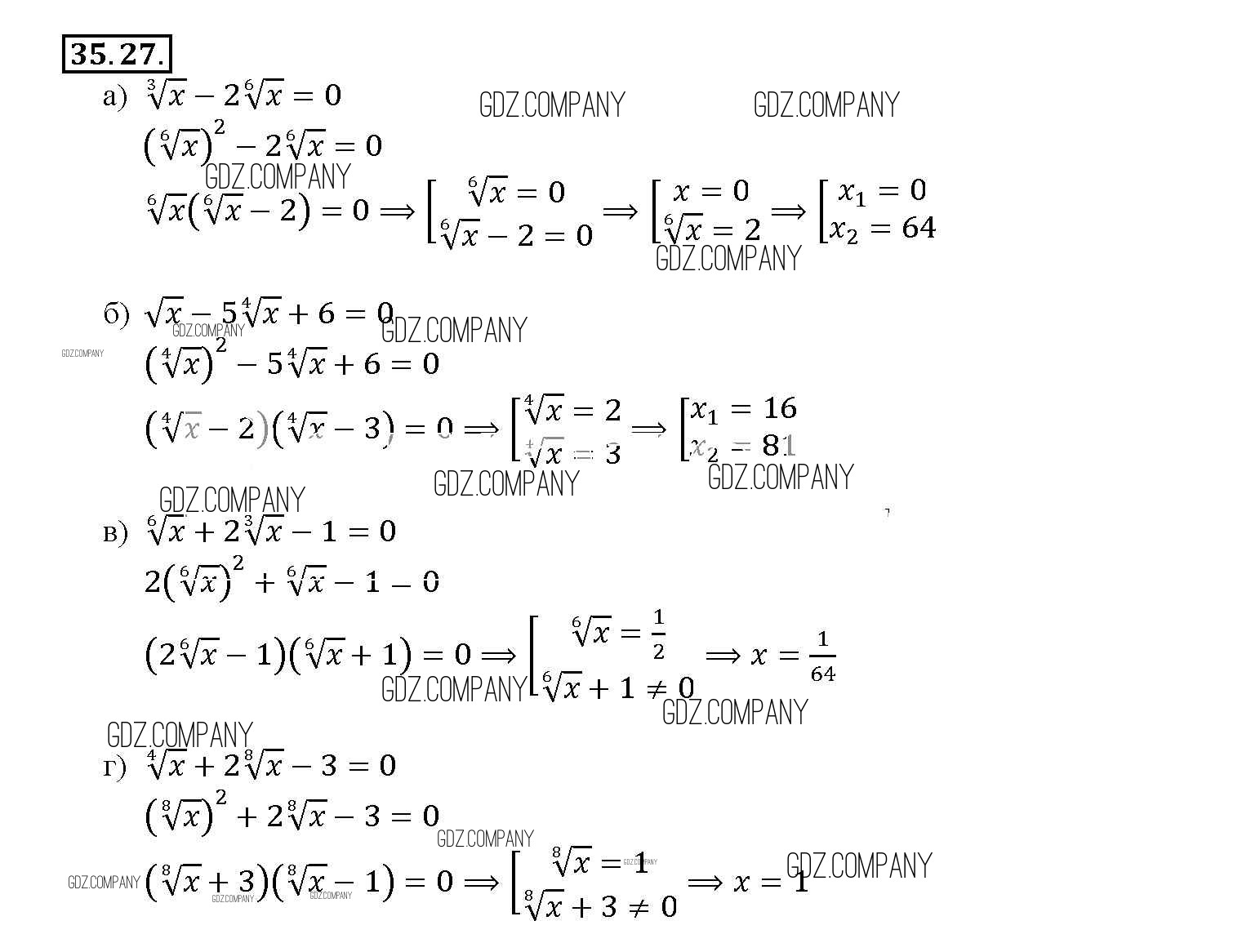
Решебник №2
глава 6 / §35 / 35. 27

Решебник №3
глава 6 / §35 / 35. 27


Здесь готовые ответы по Алгебре за 11 (десятый) класс от Мордкович, Денищева, Корешкова, Мишустина, Семёнов, Тульчинская Задачник Базовый уровень (издательство: Мнемозина от 2015 г.) № 35. 27 Базовый уровень