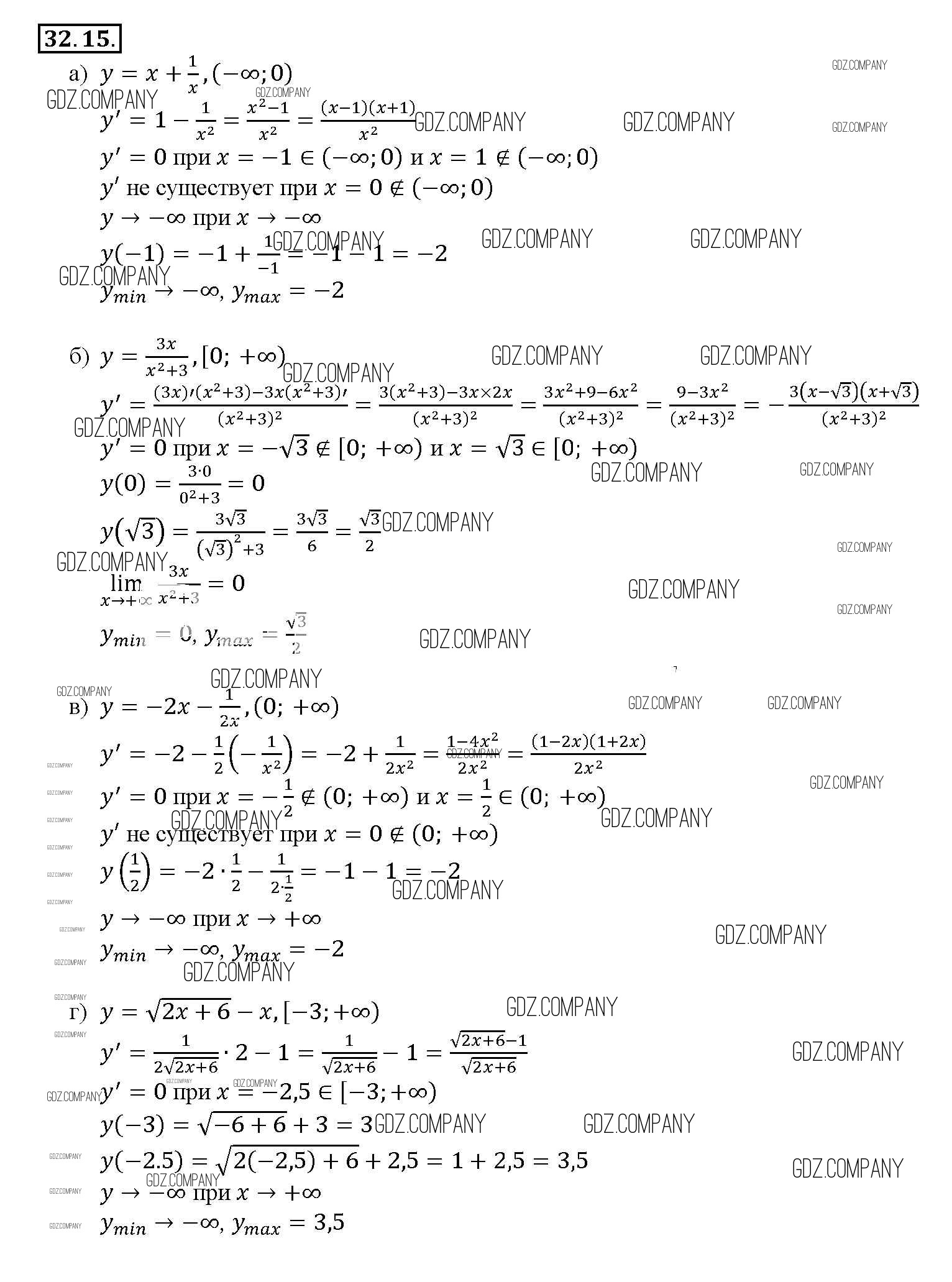
Решебник №1
глава 5 / §32 / 32. 15

Решебник №2
глава 5 / §32 / 32. 15

Решебник №3
глава 5 / §32 / 32. 15



Здесь готовые ответы по Алгебре за 11 (десятый) класс от Мордкович, Денищева, Корешкова, Мишустина, Семёнов, Тульчинская Задачник Базовый уровень (издательство: Мнемозина от 2015 г.) № 32. 15 Базовый уровень