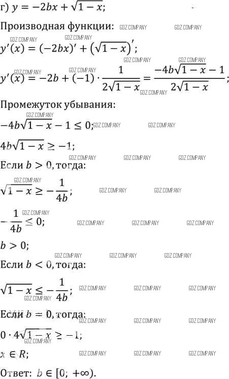
Решебник №1
глава 5 / §30 / 30. 26

Решебник №2
глава 5 / §30 / 30. 26

Решебник №3
глава 5 / §30 / 30. 26



Здесь готовые ответы по Алгебре за 11 (десятый) класс от Мордкович, Денищева, Корешкова, Мишустина, Семёнов, Тульчинская Задачник Базовый уровень (издательство: Мнемозина от 2015 г.) № 30. 26 Базовый уровень