Решебник №1
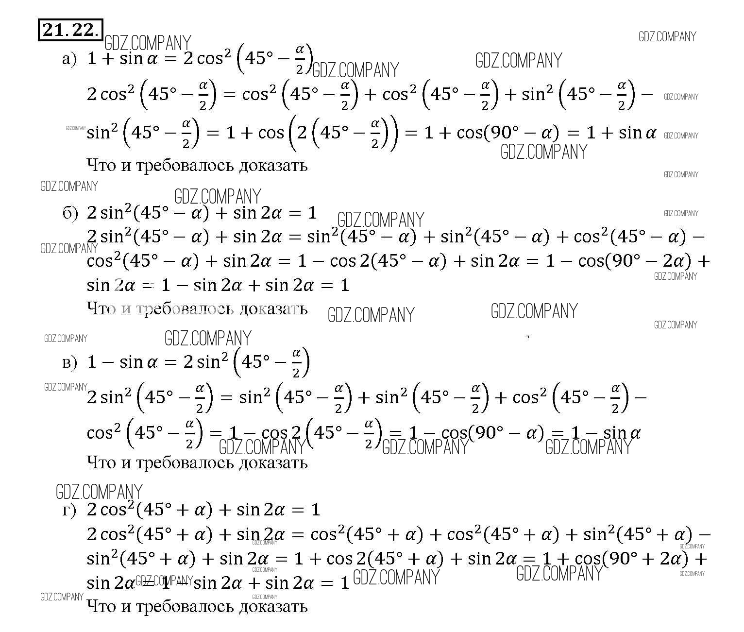
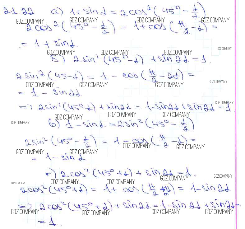
глава 4 / §21 / 21. 22

Решебник №2
глава 4 / §21 / 21. 22

Решебник №3
глава 4 / §21 / 21. 22


Здесь готовые ответы по Алгебре за 11 (десятый) класс от Мордкович, Денищева, Корешкова, Мишустина, Семёнов, Тульчинская Задачник Базовый уровень (издательство: Мнемозина от 2015 г.) № 21. 22 Базовый уровень