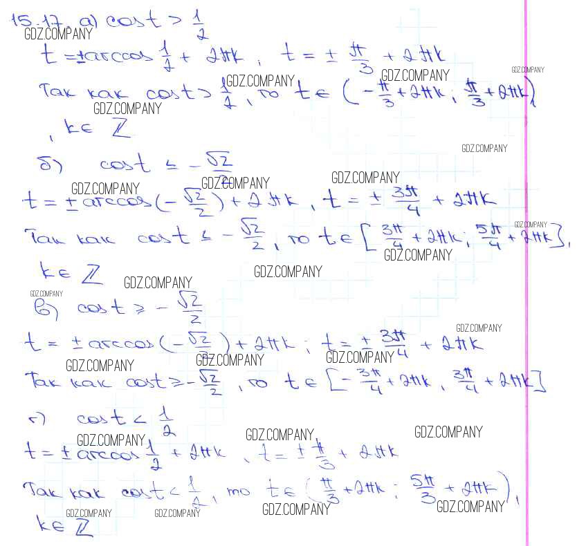
Решебник №1
глава 3 / §15 / 15. 17

Решебник №2
глава 3 / §15 / 15. 17

Решебник №3
глава 3 / §15 / 15. 17



Здесь готовые ответы по Алгебре за 11 (десятый) класс от Мордкович, Денищева, Корешкова, Мишустина, Семёнов, Тульчинская Задачник Базовый уровень (издательство: Мнемозина от 2015 г.) № 15. 17 Базовый уровень