Решебник №1
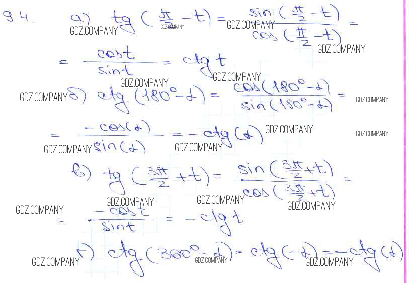
глава 2 / §9 / 9. 4

Решебник №2
глава 2 / §9 / 9. 4

Решебник №3
глава 2 / §9 / 9. 4

Здесь готовые ответы по Алгебре за 11 (десятый) класс от Мордкович, Денищева, Корешкова, Мишустина, Семёнов, Тульчинская Задачник Базовый уровень (издательство: Мнемозина от 2015 г.) № 9. 4 Базовый уровень