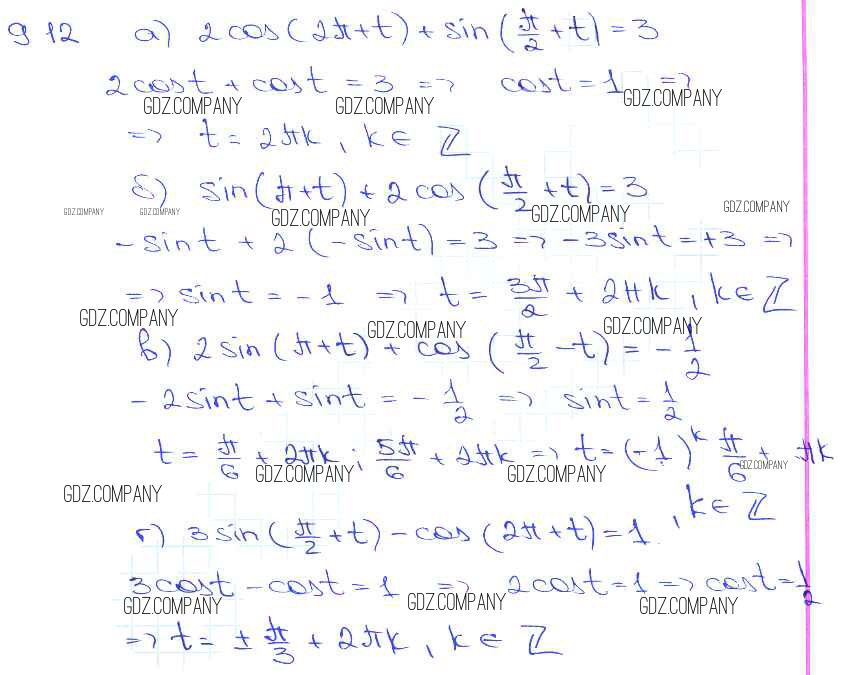
Решебник №1
глава 2 / §9 / 9. 12

Решебник №2
глава 2 / §9 / 9. 12

Решебник №3
глава 2 / §9 / 9. 12



Здесь готовые ответы по Алгебре за 11 (десятый) класс от Мордкович, Денищева, Корешкова, Мишустина, Семёнов, Тульчинская Задачник Базовый уровень (издательство: Мнемозина от 2015 г.) № 9. 12 Базовый уровень