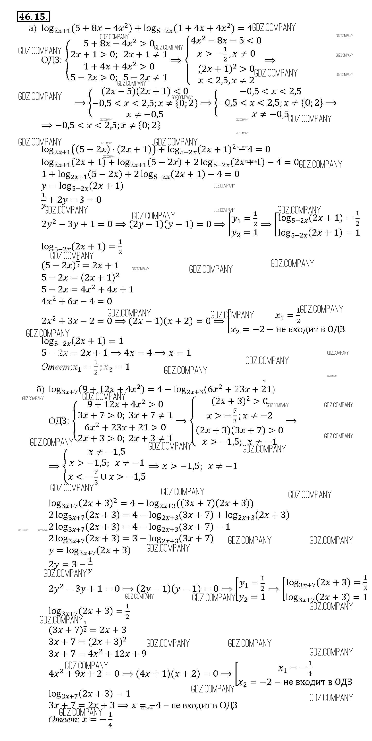
Решебник №2
глава 7 / §46 / 46. 15

Решебник №3
глава 7 / §46 / 46. 15



Здесь готовые ответы по Алгебре за 11 (десятый) класс от Мордкович, Денищева, Корешкова, Мишустина, Семёнов, Тульчинская Задачник Базовый уровень (издательство: Мнемозина от 2015 г.) № 46. 15 Базовый уровень