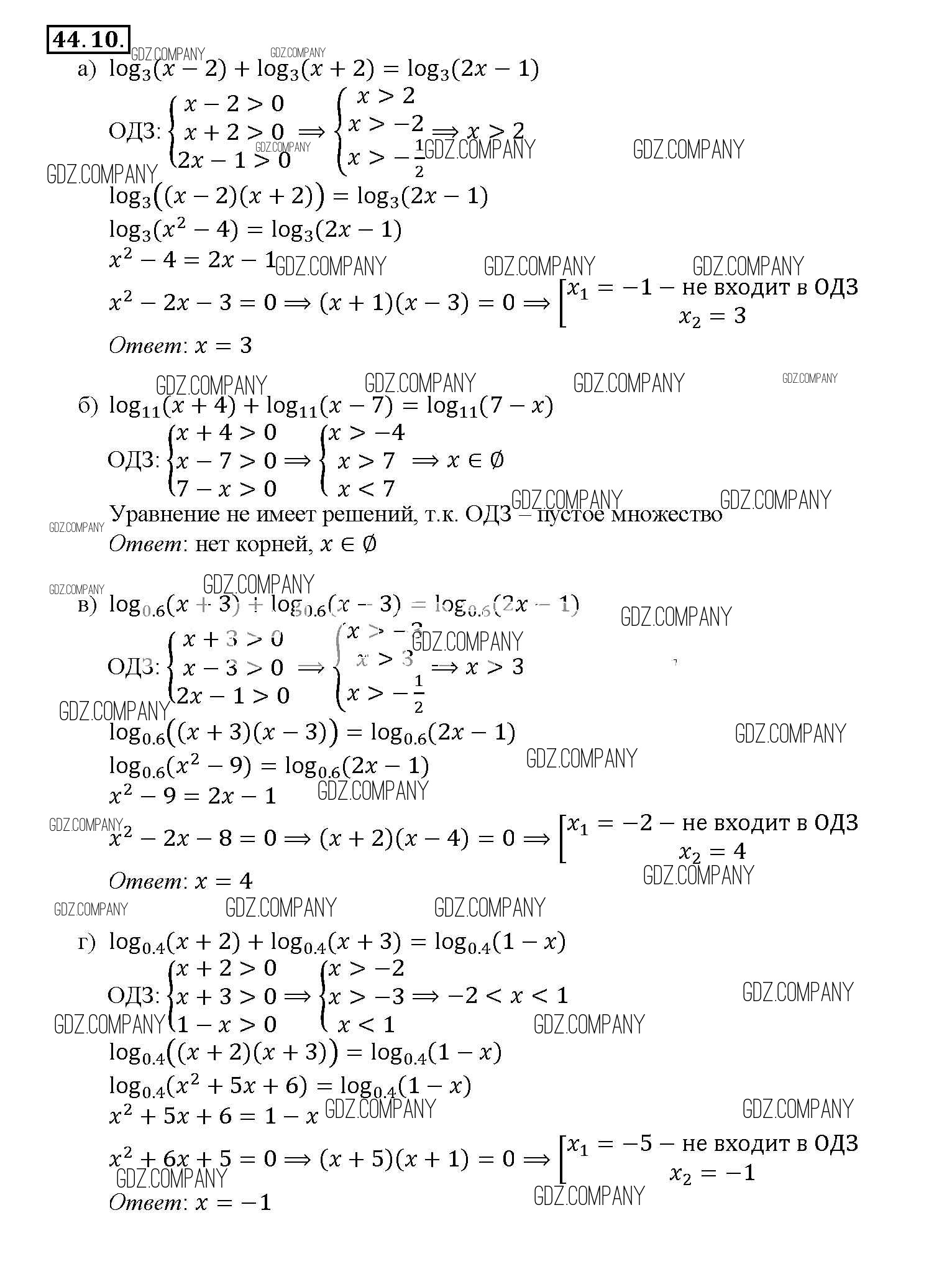
Решебник №2
глава 7 / §44 / 44. 10

Решебник №3
глава 7 / §44 / 44. 10


Здесь готовые ответы по Алгебре за 11 (десятый) класс от Мордкович, Денищева, Корешкова, Мишустина, Семёнов, Тульчинская Задачник Базовый уровень (издательство: Мнемозина от 2015 г.) № 44. 10 Базовый уровень