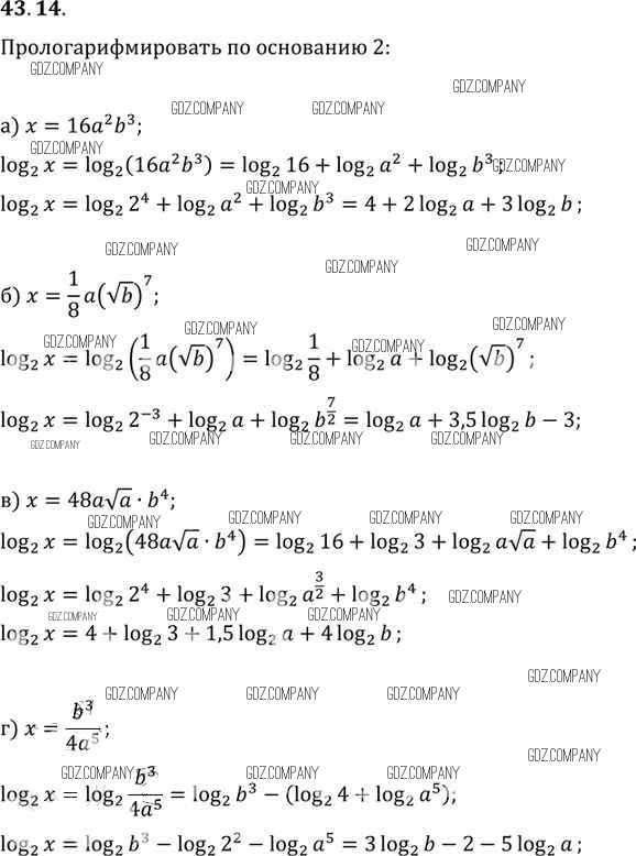
Решебник №2
глава 7 / §43 / 43. 14

Решебник №3
глава 7 / §43 / 43. 14

Здесь готовые ответы по Алгебре за 11 (десятый) класс от Мордкович, Денищева, Корешкова, Мишустина, Семёнов, Тульчинская Задачник Базовый уровень (издательство: Мнемозина от 2015 г.) № 43. 14 Базовый уровень