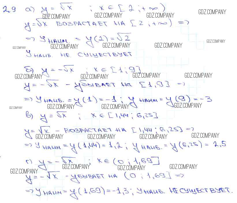
Решебник №1
глава 1 / §2 / 2. 9

Решебник №2
глава 1 / §2 / 2. 9

Решебник №3
глава 1 / §2 / 2. 9


Здесь готовые ответы по Алгебре за 11 (десятый) класс от Мордкович, Денищева, Корешкова, Мишустина, Семёнов, Тульчинская Задачник Базовый уровень (издательство: Мнемозина от 2015 г.) № 2. 9 Базовый уровень