Решебник
§33 / 33.5

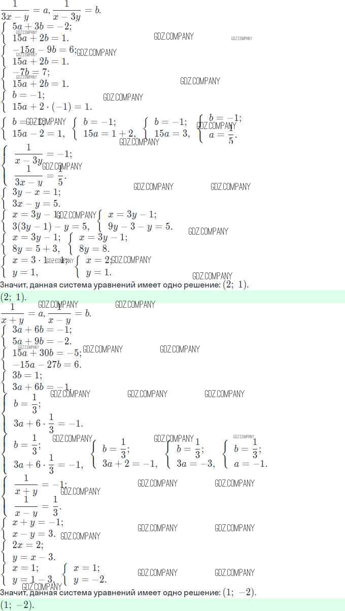
Здесь готовые ответы по Алгебре за 11 (одиннадцатый) класс от Мордкович, Семёнов, Денищева, Корешкова, Мишустина, Звавич Задачник Базовый и углубленный уровень (издательство: Мнемозина от 2017 г.) № 33.5 Базовый и углубленный уровень