Решебник
§28 / 28.57

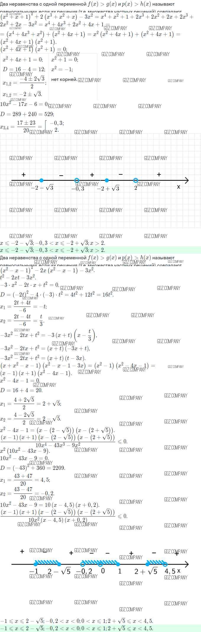
Здесь готовые ответы по Алгебре за 11 (одиннадцатый) класс от Мордкович, Семёнов, Денищева, Корешкова, Мишустина, Звавич Задачник Базовый и углубленный уровень (издательство: Мнемозина от 2017 г.) № 28.57 Базовый и углубленный уровень