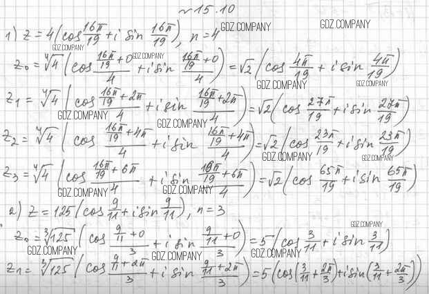
Решебник
§15 / 15.10


Здесь готовые ответы по Алгебре за 11 (одиннадцатый) класс от Мерзляк, Номировский, Поляков Учебник Алгоритм успеха Углубленный уровень (издательство: Вентана-граф от 2019 г.) № 15.10 Углубленный уровень