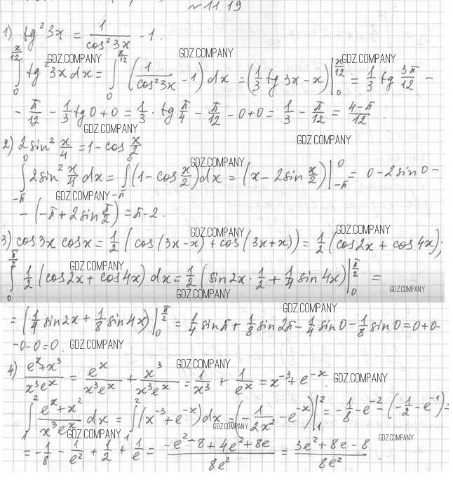
Решебник
§11 / 11.19

Здесь готовые ответы по Алгебре за 11 (одиннадцатый) класс от Мерзляк, Номировский, Поляков Учебник Алгоритм успеха Углубленный уровень (издательство: Вентана-граф от 2019 г.) № 11.19 Углубленный уровень