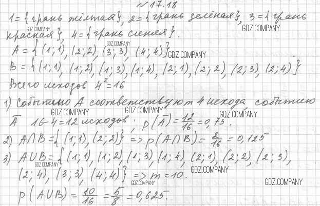
Решебник
§17 / 17.18

Здесь готовые ответы по Алгебре за 11 (одиннадцатый) класс от Мерзляк, Номировский, Полонский Учебник Алгоритм успеха Базовый и профильный уровни (издательство: Вентана-граф от 2017 г.) № 17.18 Базовый и профильный уровни