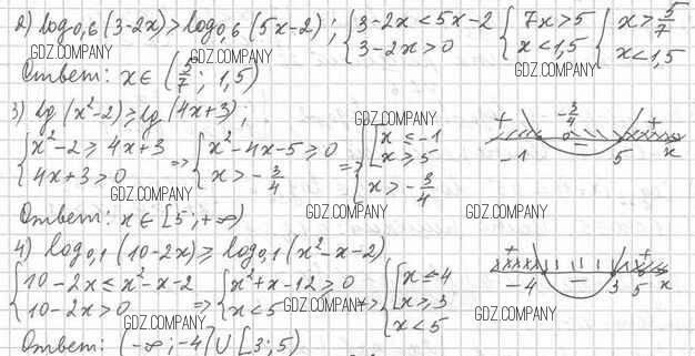
Решебник
§7 / 7.8


Здесь готовые ответы по Алгебре за 11 (одиннадцатый) класс от Мерзляк, Номировский, Полонский Учебник Алгоритм успеха Базовый и профильный уровни (издательство: Вентана-граф от 2017 г.) № 7.8 Базовый и профильный уровни