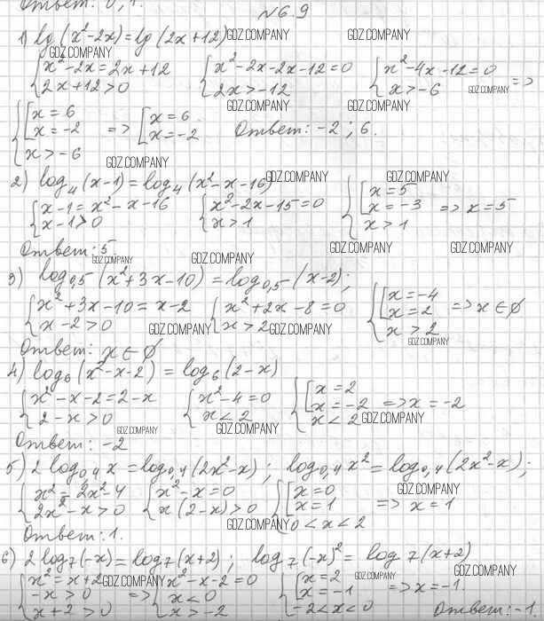
Решебник
§6 / 6.9


Здесь готовые ответы по Алгебре за 11 (одиннадцатый) класс от Мерзляк, Номировский, Полонский Учебник Алгоритм успеха Базовый и профильный уровни (издательство: Вентана-граф от 2017 г.) № 6.9 Базовый и профильный уровни