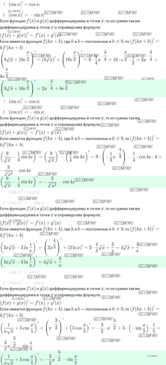
Решебник
упражнение / 199

Здесь готовые ответы по Алгебре за 11 (одиннадцатый) класс от Колягин, Ткачева, Федорова, Шабунин Учебник Базовый и углубленный уровень (издательство: Просвещение от 2018 г.) № 199 Базовый и углубленный уровень